The pursuit of the ideal espresso shot has long been considered a delicate balance between artisan craft and sensory intuition, yet recent developments in fluid dynamics are increasingly bringing the rigor of the laboratory to the portafilter. For decades, professional baristas and dedicated home enthusiasts have operated on the fundamental principle that grind size is the primary lever for controlling extraction. While this has been common knowledge in the specialty coffee industry, a new study published in the journal Royal Society Open Science provides a rigorous mathematical framework for this phenomenon, seeking to quantify the exact relationship between coffee particle geometry and water flow. The research, titled "A model for the permeability of coffee pucks," represents a significant step in moving coffee preparation from empirical trial-and-error toward a predictive, science-based discipline.
The Scientific Foundation of Espresso Permeability
At its core, the study investigates the concept of permeability—a measure of how easily a fluid can pass through a porous material. In the context of espresso, the "puck" of compressed coffee grounds acts as the porous medium. The researchers sought to determine how the physical characteristics of this puck, specifically its porosity and specific surface area, dictate the rate at which water travels through it under pressure. By establishing a general model, the team aimed to predict how adjustments in grind size and tamping force impact the final extraction, providing a theoretical basis for what baristas call "dialing in."
To achieve this, the researchers focused on two primary metrics: porosity, which refers to the volume of void space within the coffee bed, and specific surface area, which describes the total area of the coffee particles exposed to the water. In the high-pressure environment of an espresso machine—typically nine bars of atmospheric pressure—these variables determine the resistance the water faces, which in turn dictates the contact time and the efficiency of flavor extraction.
Experimental Methodology and 3D X-Ray Tomography
The methodology employed in the study was notably more sophisticated than standard kitchen experiments. The researchers utilized two distinct coffee origins roasted by the London-based Square Mile Coffee Roasters: a Tumba variety from Rwanda and a Guayacán from Colombia. These selections provided a range of density and cellular structures common in high-quality Arabica beans. To create a comprehensive data set, the team prepared 22 distinct samples—11 for each coffee type—by varying the grind settings on a professional-grade Mahlkönig grinder, ranging from extremely fine to relatively coarse.
The breakthrough in this research came from the use of X-ray computed micro-tomography. This imaging technology allowed the scientists to create high-resolution 3D maps of the internal structure of the coffee puck. By visualizing the microscopic pathways between individual coffee particles, the researchers could identify "unseeable" channels where water is most likely to flow. These 3D models were then subjected to digital flow simulations based on percolation theory, a mathematical framework used to describe the behavior of connected clusters in a random medium. This allowed the team to observe how individual pores in the coffee bed connect to form continuous pathways for water, a process that is fundamental to the consistency of an espresso shot.
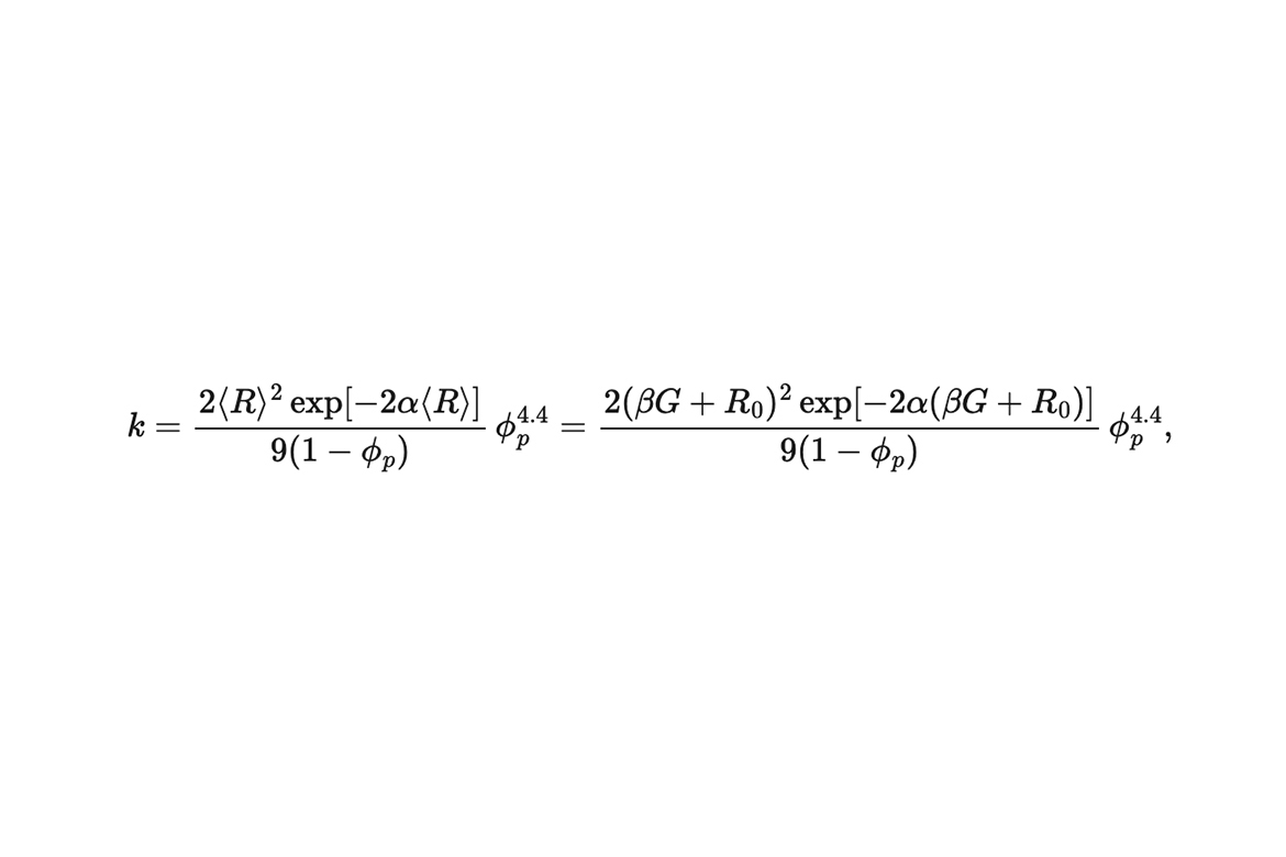
Mathematical Modeling and Darcy’s Law
The culmination of the experimental phase was the development of a predictive equation designed to compute the permeability of a coffee puck. This model integrates the physical data gathered from the 3D scans with Darcy’s Law, a principle of physics that describes the flow of a fluid through a porous medium. Darcy’s Law relates the flow rate to the pressure drop across the medium, the viscosity of the fluid, and the permeability of the material.
By applying this law to coffee, the researchers demonstrated that baristas could, in theory, make a priori choices—decisions made before the brewing process begins—regarding grind settings to achieve a specific target mass and shot time. For instance, if a barista desires a 36-gram yield in 30 seconds, the equation provides the necessary grind parameters to meet that goal based on the specific density and surface area of the coffee being used. This transitions the role of the barista from one of reactive adjustment to one of proactive precision.
Chronology of Coffee Extraction Research
The Royal Society study does not exist in a vacuum; it is part of a growing body of "coffee physics" that has gained momentum over the last decade.

- 2014: Early research by computational chemists, such as Christopher Hendon, began exploring the impact of water chemistry (specifically magnesium and calcium ions) on extraction efficiency.
- 2017: The focus shifted toward the "fines" (microscopic coffee particles) and how they can migrate during brewing to clog the filter, leading to uneven extraction.
- 2020: A landmark study published in Matter challenged the industry standard of "finer is better." It suggested that grinding too fine can lead to "channeling," where water finds paths of least resistance, leaving large portions of the coffee bed dry and unextracted.
- 2024: The current Royal Society study builds on these foundations by providing a generalized model for permeability that accounts for the physical connectivity of the pores, rather than just the average particle size.
Industry Implications and Technical Limitations
While the study offers a robust mathematical framework, its practical application in a fast-paced cafe environment faces several hurdles. The researchers acknowledged that their current model does not fully account for the dynamic nature of coffee during the brewing process. When coffee grounds come into contact with hot water, they undergo "swelling" as they absorb moisture and release trapped carbon dioxide gas. This physical expansion changes the porosity and permeability of the puck in real-time, a variable that the static 3D models could not fully capture.
Furthermore, the study focused on the mechanics of flow rather than the qualitative aspects of flavor. In the specialty coffee industry, a shot that meets the "desired mass in a desired time" is not necessarily a "perfect" shot if the flavor profile is unbalanced. Factors such as acidity, bitterness, and body are influenced by the chemical solubility of different compounds within the bean, which the permeability model does not address.
Additionally, the rise of "pressure profiling" in modern espresso machines—where the pressure is varied throughout the duration of the shot—adds another layer of complexity. Darcy’s Law assumes a steady state, which is often not the case in contemporary brewing techniques that utilize pre-infusion or declining pressure ramps.
Reactions from the Barista Community
Professional baristas have expressed a mixture of intrigue and skepticism regarding the study. While the scientific validation of grind size importance is welcomed, many argue that the "dialing in" process remains the most efficient way to manage the daily fluctuations of coffee. Variables such as ambient humidity, the age of the roasted beans, and the temperature of the grinder burrs can all shift the extraction parameters throughout a single afternoon.
"The science is fascinating because it confirms what we feel through the portafilter," says one veteran shop manager. "But until I have an X-ray scanner next to my tamper, I’ll probably stick to tasting the shots and adjusting the dial based on my palate. The equation is the ‘why,’ but the barista is still the ‘how.’"
The Future of Precision Brewing
Despite the practical limitations, the implications of this research for the future of coffee technology are significant. Equipment manufacturers, particularly those developing super-automatic espresso machines, could utilize these models to create more intelligent systems. If a machine can measure the resistance of the coffee puck in real-time and adjust its pump pressure or grind size automatically based on Darcy’s Law, the consistency of office and home espresso could see a dramatic improvement.
Moreover, this study provides a foundation for future research into more sustainable brewing. By understanding the exact permeability of the coffee bed, the industry can work toward reducing waste. If baristas can achieve optimal extraction with fewer "sink shots" (failed attempts during the dialing-in process), it would lead to a measurable reduction in coffee consumption and cost at the retail level.
Ultimately, the work published in Royal Society Open Science serves as a bridge between the art of the cafe and the precision of the laboratory. It highlights that even a daily ritual as common as a cup of espresso is governed by complex laws of physics. As our understanding of the espresso puck’s internal architecture grows, the gap between a "good" shot and a "perfect" shot continues to narrow, guided by the steady hand of scientific inquiry.
